विकास कामे माहिती

vikas-kame-Cv5505_865590_1757937302134

vikas-kame-ItvIdi80452_231880_1757937307888

vikas-kame-JRW504768139_926578_1757937200428

vikas-kame-NWV263371_523624_1757937071653

vikas-kame-VMPBp4_701853_1757937220167

vikas-kame-XOr2758534_954600_1757937261961

vikas-kame-gxWPVpzf894_394155_1757937298413

vikas-kame-hT2907813_538820_1757937316413

vikas-kame-ngAU8284959_610297_1757937284180

vikas-kame-sF94691_575624_1770386836645

vikas-kame-zeM54032235_700309_1757936619979

ग्रामपंचायत लासलगांव माझी वसुंधरा अभियान
ग्रामपंचायत लासलगांव माझी वसुंधरा अभियान ५,० शपथ
ग्रामपंचायत लासलगांव माझी वसुंधरा अभियान ५,० शपथ

ग्रामपंचायत लासलगांव माझी वसुंधरा अभियान ५,० शपथ

ग्रामपंचायत लासलगांव माझी वसुंधरा अभियान ५,०

ग्रामपंचायत लासलगांव माझी वसुंधरा ५ अंतर्गत रास्ता खडीकरण

ग्रामपंचायत लासलगांव माझी वसुंधरा ५ अंतर्गत रोपवाटिका

ग्रामपंचायत लासलगांव माझी वसुंधरा ५,० अंतर्गत Bio West

ग्रामपंचायत लासलगांव माझी वसुंधरा ५,० अंतर्गत आकाश घटक अंतर्गत प्रचार प्रसिद्धी
ग्रामपंचायत लासलगांव माझी वसुंधरा ५,० अंतर्गत दत्त मंदिर पाण्याची टाकी प्रचार प्रसिद्धी
ग्रामपंचायत लासलगांव माझी वसुंधरा ५,० अंतर्गत पाटील गल्ली सोलर दिवे

ग्रामपंचायत लासलगांव माझी वसुंधरा ५,० अंतर्गत पाण्याची टाकी रंगकाम
ग्रामपंचायत लासलगांव माझी वसुंधरा ५,० अंतर्गत भूमी थिम वृक्ष लागवड
ग्रामपंचायत लासलगांव माझी वसुंधरा ५,० अंतर्गत रास्ता खडीकरण करणे

ग्रामपंचायत लासलगांव माझी वसुंधरा ५,० अंतर्गत रास्ता खडीकरण

ग्रामपंचायत लासलगांव माझी वसुंधरा ५,० अंतर्गत रोपवाटिका

ग्रामपंचायत लासलगांव माझी वसुंधरा ५,० अंतर्गत शपथ
ग्रामपंचायत लासलगांव माझी वसुंधरा ५,० अभियान
माझी वसुंधरा अभियान ५ ग्रा, पं, लासलगाव लोक जैवविविधता PBR नोंद वही
माझी वसुंधरा अभियान ५ ग्रा, पं, लासलगाव हद्दीतील नोटीस बोर्डवरील दिलेली प्रसिद्धी

माझी वसुंधरा अभियान ५ ग्रा, पं, लासलगाव हेरिटेज ट्री यादी

वृक्ष गणना नोंद व प्रसिद्ध यादी - 1

वृक्ष गणना नोंद व प्रसिद्ध यादी - 2

वृक्ष गणना नोंद व प्रसिद्ध यादी - 3

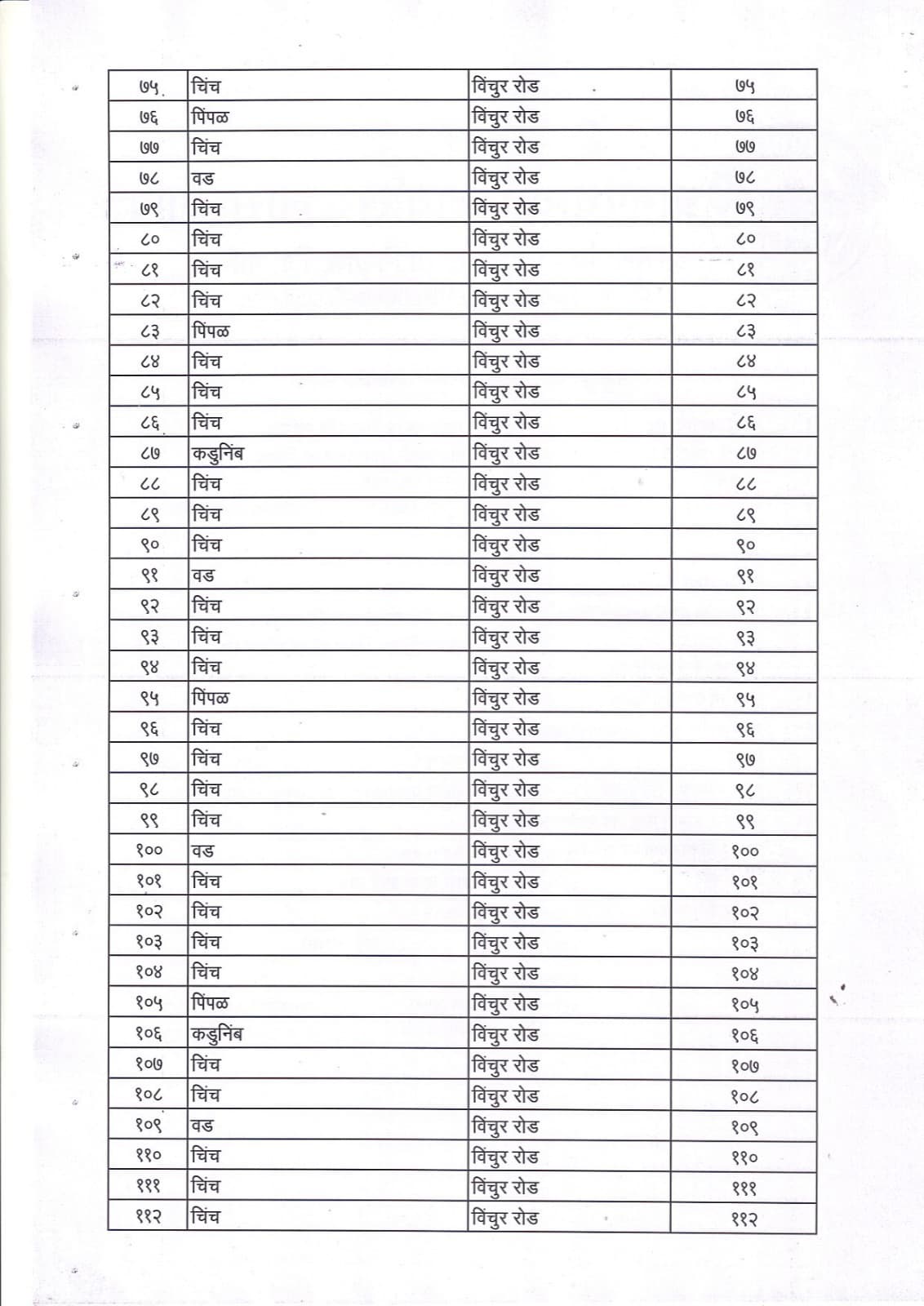
वृक्ष गणना नोंद व प्रसिद्ध यादी - 4

वृक्ष गणना नोंद व प्रसिद्ध यादी - 5

वृक्ष गणना नोंद व प्रसिद्ध यादी - 6

वृक्ष गणना नोंद व प्रसिद्ध यादी - 7

वृक्ष गणना नोंद व प्रसिद्ध यादी - 8

वृक्ष गणना नोंद व प्रसिद्ध यादी - 9

वृक्ष गणना नोंद व प्रसिद्ध यादी - 10